NOTA DE PRENSA
Aplicación para el diseño de riego: Estimación de la cantidad necesaria de aspersores

Para hacer estimaciones preliminares y darnos una idea sobre el tamaño de un proyecto de riego, nos puede ser útil el poder de estimar rápidamente la cantidad de emisores necesaria para regar el área en cuestión. Aquí se presentan fórmulas sencillas para evaluar dichas cantidades, sobre todo para el caso de áreas enormes, como pueden ser los campos de golf pero también los de agrícola.

Las fórmulas permiten estimar las cantidades para ambas disposiciones de aspersores, en cuadrado y triángulo. Antes de emplearlas, hemos de conocer el radio de alcance del emisor r (según las tablas del fabricante) y el llamado lado específico a del campo a regar. En el caso de formas cuadradas, esta última cuantía coincide con el lado del cuadrado, sin embargo, para una forma rectangular, el lado específico es la media geométrica de los lados del rectángulo A y B, que se evalúa con esta fórmula:

En el caso de un campo circular, el lado específico a lo hallaremos así:

Para campos irregulares, por el lado específico tomaremos, como una aproximación, el valor de la raíz cuadrada del área total.

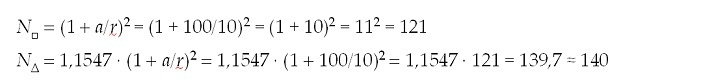
Para dar un ejemplo sencillo, tengamos  un emisor de 10 metros de alcance y un campo irregular de 10 000 metros cuadrados. El lado específico será la raíz cuadrada de 10 000, es decir, 100 metros. Ahora podemos aplicar las fórmulas, la sulución será:

Para aquellos que quieren evitar estos cálculos, les puede servir nuestra aplicación que integra este cálculo: http://www.lotusmallorca.com/aplicaciones9.htm

 

La fuente de las fórmulas y texto: 'Riego en 3 pasos. Guía práctica. Cómo ahorrar agua y energía'

Autores: Equipo editorial de Lotus Mallorca, S.L. http://www.lotusmallorca.com/